尝试FFT


需要用到FFT处理音频数据,然后显示出来。
所用单片机资源相对不足,所以需要尝试最快的方式实现FFT。

经过在网上的搜索,找到了整型运算FFT的方法。

在使用中总觉的有点不对劲。

Python比较流行,也用过python,于是使用python来计算FFT和对比。
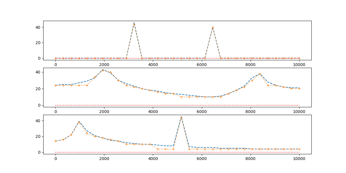
的确很便利,直接画图,然后看到差异。下面是使用python,不同的方法计算FFT,然后画出频谱图。
蓝色线是浮点运算的曲线,橙色十字点的曲线是整型运算的。
20KHz采样,采集64个点:

 
20KHz采样,采集128个点:

 
20KHz采样,采集256个点:

 
20KHz采样,采集512个点:

 
通过以上的对比,整型运算与浮点运算的结果很相近。

主列表


粤ICP备18155588号

粤公网安备44030002010547号